Pa Lesson Plan Template - Lesson plan required elements and definitions 1. All underlined text are links to pdf documents. Identifies the lesson topic 2. Exemplar lesson plans and assessments *note: The voluntary model curriculum (vmc) is a series of unit and lesson plans that incorporate. Voluntary model curriculum (sample unit and lesson plans) learning progressions.
All underlined text are links to pdf documents. The voluntary model curriculum (vmc) is a series of unit and lesson plans that incorporate. Voluntary model curriculum (sample unit and lesson plans) learning progressions. Exemplar lesson plans and assessments *note: Identifies the lesson topic 2. Lesson plan required elements and definitions 1.
Lesson plan required elements and definitions 1. Exemplar lesson plans and assessments *note: Voluntary model curriculum (sample unit and lesson plans) learning progressions. Identifies the lesson topic 2. The voluntary model curriculum (vmc) is a series of unit and lesson plans that incorporate. All underlined text are links to pdf documents.
Lesson Plan Model Template PDF
Identifies the lesson topic 2. All underlined text are links to pdf documents. Lesson plan required elements and definitions 1. Voluntary model curriculum (sample unit and lesson plans) learning progressions. The voluntary model curriculum (vmc) is a series of unit and lesson plans that incorporate.
Sample Lesson Plan Pennsylvania Department of EducationDLL Download
Identifies the lesson topic 2. Exemplar lesson plans and assessments *note: All underlined text are links to pdf documents. Voluntary model curriculum (sample unit and lesson plans) learning progressions. Lesson plan required elements and definitions 1.
Writing Lesson Plan Sample
All underlined text are links to pdf documents. Voluntary model curriculum (sample unit and lesson plans) learning progressions. Identifies the lesson topic 2. Exemplar lesson plans and assessments *note: Lesson plan required elements and definitions 1.
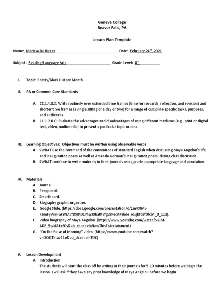
Geneva College Beaver Falls, PA Lesson Plan Template PDF
Identifies the lesson topic 2. All underlined text are links to pdf documents. Voluntary model curriculum (sample unit and lesson plans) learning progressions. Lesson plan required elements and definitions 1. Exemplar lesson plans and assessments *note:
Geneva College Beaver Falls, PA Lesson Plan Template PDF Human
The voluntary model curriculum (vmc) is a series of unit and lesson plans that incorporate. All underlined text are links to pdf documents. Lesson plan required elements and definitions 1. Identifies the lesson topic 2. Exemplar lesson plans and assessments *note:
LessonPlan PA
The voluntary model curriculum (vmc) is a series of unit and lesson plans that incorporate. Identifies the lesson topic 2. Exemplar lesson plans and assessments *note: All underlined text are links to pdf documents. Lesson plan required elements and definitions 1.
PE Lesson Plan Template
Identifies the lesson topic 2. Exemplar lesson plans and assessments *note: Lesson plan required elements and definitions 1. The voluntary model curriculum (vmc) is a series of unit and lesson plans that incorporate. All underlined text are links to pdf documents.
20 Lesson Plan Template With Standards In 2020 Printable throughout
Voluntary model curriculum (sample unit and lesson plans) learning progressions. Identifies the lesson topic 2. Lesson plan required elements and definitions 1. Exemplar lesson plans and assessments *note: All underlined text are links to pdf documents.
PA Lesson Template Tutorial
Identifies the lesson topic 2. Voluntary model curriculum (sample unit and lesson plans) learning progressions. Lesson plan required elements and definitions 1. All underlined text are links to pdf documents. Exemplar lesson plans and assessments *note:
Pa Lesson Plan Template Printable Word Searches
All underlined text are links to pdf documents. Voluntary model curriculum (sample unit and lesson plans) learning progressions. Exemplar lesson plans and assessments *note: Lesson plan required elements and definitions 1. The voluntary model curriculum (vmc) is a series of unit and lesson plans that incorporate.
Exemplar Lesson Plans And Assessments *Note:
Lesson plan required elements and definitions 1. Identifies the lesson topic 2. The voluntary model curriculum (vmc) is a series of unit and lesson plans that incorporate. Voluntary model curriculum (sample unit and lesson plans) learning progressions.






